2023-04-05

How COC MAX is Helping Farmers to Increase yields and reduce costs

Agriculture is one of the oldest and most important industries in the world. For centuries, farmers have worked tirelessly to cultivate crops, raise livestock, and provide food for communities. However, with the ever-increasing demand for food and limited resources, it has become more important than ever to find innovative ways to increase yields and reduce costs. This is where COC MAX comes in – a revolutionary product that is helping farmers achieve these goals and more.
One of the key features of COC MAX is its ability to monitor crop health and growth in real-time. Using advanced sensors and analytics, the product can provide farmers with detailed information about their crops, including soil moisture, nutrient levels, and temperature. This data is then used to create customized recommendations for farmers on how to improve crop health and increase yields.

Another important benefit of COC MAX is that it can help farmers reduce costs. By providing detailed insights into crop health and growth, the product can help farmers identify areas where they can cut back on resources such as water and fertilizer. This not only reduces costs but also helps to promote more sustainable farming practices.
One example of how COC MAX has helped farmers increase yields and reduce costs can be seen in the case of a Grapes farmer in India. By using COC MAX to monitor soil moisture and nutrient levels, the farmer was able to optimize irrigation and fertilization practices, resulting in a 30% increase in yields and a 20% reduction in water and fertilizer usage.

In addition to its many benefits for farmers, COC MAX is also helping to address some of the biggest challenges facing the agriculture industry today, such as climate change and food security. By improving crop yields and reducing costs, the product can help ensure that farmers are able to meet the growing demand for food while minimizing the impact on the environment.
In conclusion, COC MAX is a game-changing product that is helping farmers around the world to increase yields and reduce costs. By providing real-time insights into crop health and growth, the product is helping farmers make more informed decisions about how to manage their land, resulting in higher yields and more sustainable farming practices. As the world continues to grapple with issues such as climate change and food security, products like COC MAX are likely to become increasingly important in the years to come.

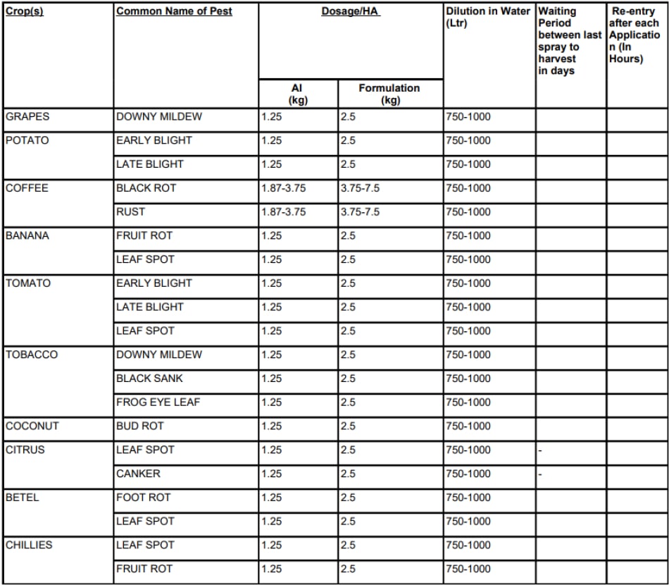
Recommendation

Grapes

Potatos

Coffee

Direction of use

Knapsack sprayer, foot sprayer, compression knapsack sprayer, compression knapsack battery sprayer and ASPEE-HTP power sprayer. Do not use on fruit trees without the addition of safeners e.g. cotton seed oil to avoid leaf scorch and resetting.
Time of Application: For the best results apply prophylactically i.e. before disease attack plants, in rain weather spraying must be repeated at shorter intervals.

Precaution

  1. Keep away from foodstuffs, empty foodstuff containers, and animal food.
  2. Avoid contact with mouth, eyes, and skin.
  3. Avoid inhalation of the spray mist. Spray in the direction of the wind. 4 . Wash thoroughly the contaminated clothes and parts of the body after spraying.
  4. Do not smoke, drink, eat, or chew anything while spraying.
  5. Wear full protective clothing while mixing and spraying.

Symptoms Of Poisoning

Vomiting, stomach ache, diarrhea, metallic taste in the mouth, headache, cold sweat, and weak pulse may occur.

First Aid

  1. If swallowed, induce vomiting by tickling the back of throat. Repeat it until the vomitus is clear. Do not induce vomiting if the patient is unconscious.
  2. If clothing and skin are contaminated, remove the clothes and wash the contaminated skin with a copious amount of soap and water.
  3. If eyes are contaminated, flush with plenty of salines/clean water for about 10 to 15 minutes.
  4. If inhaled, remove the patient to fresh air

Storage Conditions

  1. The packages containing the fungicide shall be stored in separate rooms or premises away from the rooms or premises used for storing other articles of or shall be kept in separate almirahs under lock and key depending upon the quantity and nature of the fungicide.
  2. The rooms or premises meant for storing the fungicide shall be well-lit and ventilated and of sufficient dimensions.

Manufactured By:

Green India Care